DBS9X mini 数传

12 may 2020

DBS9X 是高度集成的OEM数传模块,其具有超小的体积和重量仅 3.7 g 等优点。可以像芯片一样方便于用户集成到自己的产品中.
DBS9X 覆盖902 – 928 MHz频段的高性能900MHz ISM频段无线电调制解调器。 它专为需要最佳无线电链路性能的远程串行通信应用而设计。

./RFD900+_files/with.png 1800w       ./RFD900+_files/high.png 1800w

主要特点
  • 体积小,重量仅3.7g。
  • 通信距离> 40km,具体取决于天线和GCS设置
  • 支持遥测 RC PPM SBUS。
  • 支持 同步网络、 mesh异步网络固件。
  • 支持 中继飞行。
  • 空中数据速率:750kbit / s。

  • PPM 与 SBUS
    DBS9X支持传统的点对点 数据通信,又增设遥控的 PPM SBUS 的信号的传输。有遥控数据 链一体的功能.

    同步多点网络
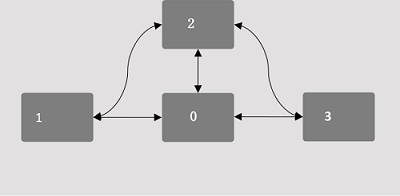
    DBS9X 可以构建成一个同步网络,网络内的数传可以进行相互通信 。 相比普通单一用户数 传,网络结构的数传 也 可以进行 >40KM的长距离数据传输 . 且仅4g的重量不会对飞行造成负担。 对于无人机行业 以同时控制 多 架无人机,进行同时作业。可以 极大 节约时间,提高工作效率。 我们已经实现对5架无人机的控制,如下示意图。
    网络通信示意图
    ./RFD900+_files/example.png 1800w
    多机控制示意图
    ./RFD900+_files/Network.png 1800w

    应用场景
    1、同步作业
    同步作业场景下,只使用同一个地面站控制,两架无人机按照预先规划的路径同时作业 互不干扰。情景示意及数据传输方式如下图
    ./RFD900+_files/example4.png 1800w
    2、循环作业
    在一架无人机需要返回 Home 进行补给时,另一架无人机可以及时赶往进行 替换。保证作业进行,且不会相互干扰。如下图。
    ./RFD900+_files/example2.png 1800w
    3、差分GPS组网
    同步网络 数传 也可以实现,以一个地面基准站 上传给送多路 的差分数据 至天空流动 站。
    ./RFD900+_files/example3.png 1800w
    4、携带差分gps的飞机
    同步网络 数传 也可以实现,以一个地面基准站 上传给送多路 的差分数据 至天空流动 站。
    ./RFD900+_files/example5.png 1800w

    参数
  • 频率范围:902- 928 MHz
  • 输出功率:1W(+ 30dBm),以1dB步长可控(+/- 1dB @ = 20dBm典型值)
  • 空中数据传输速率:12、56、64、100、125、200、224、500和750 kbit / sec(用户可设置,默认为64kbit)。
  • UART数据传输速率:1200、2400、4800、9600、19200、38400、57600、115200、230400、460800、1M波特(用户可设置,默认57600)
  • 接收灵敏度:低数据速率,高数据速率(TBA)时> 121 dBm
  • 尺寸: 21.9 mm x 31.5 mm x 1.0 mm。
  • 重量:3.7克
  • 电源:标称值为+5 V(最小+3.5 V,最大+5.5 V),最大功率下约为800 mA峰值。
  • 温度 范围:-40至+85摄氏度,经测试可在-73至+123摄氏度下运行。

  • 硬件特点
  • AES数据加密。
  • 完全ESD保护+过滤-每个IO端口均受到保护和过滤。已通过认可的测试实验室的CISPR 22初步辐射测试。
  • 2个RP-SMA RF连接器,分集切换
  • 1瓦(+ 30dBm)发射功率。
  • > 20dB低噪声放大器。
  • RX SAW滤波器
  • 新型LNA具有更高的增益和更高的IP3,适用于高干扰环境。
  • 完全ESD保护+过滤-每个IO端口均受到保护和过滤。已通过认可的测试实验室的CISPR 22初步辐射测试。

  • 软件功能
  • 跳频扩频(FHSS
  • 透明的串行链接
  • 点对点或多点。
  • 通过用于本地无线电的简单AT命令进行配置,通过远程无线电的RT命令进行配置。
  • 用户可配置的串行数据速率和空中数据速率
  • 纠错例程,Mavlink协议框架(用户可选)。
  • Mavlink无线电状态报告(本地RSSI,远程RSSI,本地噪声,远程噪声)
  • 实时基于分组自动切换天线分集。
  • 据无线电温度自动调节占空比,避免过热

  • 接口
  • 天线:2 x RP-SMA天线连接器–可以选择只连接一根天线
  • 串行:逻辑电平RS232(+ 3.3v标称值,+ 5v耐压)
  • 功率:+ 5v,~800mA最大峰值(在最大发射功率下)。
  • GPIO:6个通用IO(具有数字,ADC和PWM功能)。

  • 合规性
  • FCC第15.247部分(跳频和数字调制有意辐射器)
  • AS / NZS 4268:2012(无线电设备和系统–短距离设备)